作者: tihaiku 人气: - 评论: 0
问题
选项
答案 B
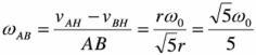
解析 OA以匀角速度ω0转动,故A点水平向速度为rω0,竖直向速度为零,又AB杆B端水平速度为零, 因而连杆AB的角速度为 由于A相对于B端有向左运动的趋势,因此,AB的角速度方向是顺时针方向。

相关内容:

猜你喜欢

发表评论
更多 网友评论0 条评论)
暂无评论

Copyright © 2012-2014 恰考网 Inc. 保留所有权利。 Powered by tikuer.com

页面耗时0.0589秒, 内存占用1.01 MB, Cache:redis,访问数据库17次