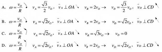
图示半径为R的圆柱体在固定水平面上做纯滚动,圆心O的速度为,圆柱体角速度ω及A、B、 D 的速度为( )。

作者: tihaiku 人气: - 评论: 0
问题 图示半径为R的圆柱体在固定水平面上做纯滚动,圆心O的速度为,圆柱体角速度ω及
选项 A、B、 D 的速度为( )。
答案 B
解析

相关内容:半径,圆柱体,水平,面上,做纯,圆心,速度,角速度

猜你喜欢

发表评论
更多 网友评论0 条评论)
暂无评论

Copyright © 2012-2014 恰考网 Inc. 保留所有权利。 Powered by tikuer.com

页面耗时0.0382秒, 内存占用1.04 MB, Cache:redis,访问数据库16次