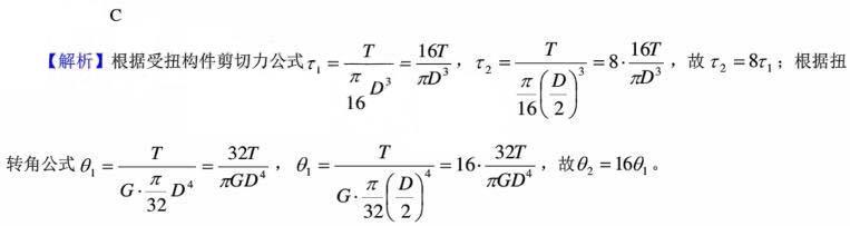
直径为D的受扭圆轴,轴内的最大剪应力为τ1,单位扭转角为θ1。若轴的直径改为,此时轴内的最大剪应力为τ2、单位扭转角为θ2,则下列结论中正确的是( )。A...

作者: tihaiku 人气: - 评论: 0
问题 直径为D的受扭圆轴,轴内的最大剪应力为τ1,单位扭转角为θ1。若轴的直径改为,此时轴内的最大剪应力为τ2、单位扭转角为θ2,则下列结论中正确的是( )。
选项 A. τ2=16τ1,θ2=8θ1 B. τ2=16τ1,θ2=16θ1 C. τ2=8τ1,θ2=16θ1 D. τ2=8τ1,θ2=8θ1
答案 C
解析

相关内容:直径,受扭圆,轴内,单位,转角,若轴,结论

猜你喜欢

发表评论
更多 网友评论0 条评论)
暂无评论
错误啦!

错误信息

  • 消息: [程序异常] : MISCONF Redis is configured to save RDB snapshots, but it's currently unable to persist to disk. Commands that may modify the data set are disabled, because this instance is configured to report errors during writes if RDB snapshotting fails (stop-writes-on-bgsave-error option). Please check the Redis logs for details about the RDB error.
  • 文件: /twcms/kongphp/cache/cache_redis.class.php
  • 位置: 第 85 行
    <?php echo 'KongPHP, Road to Jane.'; ?>