下列结论中正确的是( )。A.如果矩阵A中所有顺序主子式都小于零,则A一定为负定矩阵 B.设,若,且 ,则A一定为正定矩阵 C.如果二次型中缺少平方项...

作者: tihaiku 人气: - 评论: 0
问题 下列结论中正确的是( )。
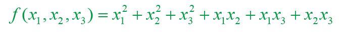
选项 A.如果矩阵A中所有顺序主子式都小于零,则A一定为负定矩阵 B.设,若,且 ,则A一定为正定矩阵 C.如果二次型中缺少平方项,则它一定不是正定二次型 D.二次型所对应的矩阵是
答案 C
解析 由惯性定理可知,实二次型经可逆线性变换化为标准型时,其标准型中正、负平方项的个数是唯一确定的。对于缺少平方项的n元二次型的标准形或规范形中正惯性指数不会等于未知数的个数n,所以一定不是正定二次型。 A项,对称矩阵A为负定的充分必要条件是:奇数阶主子式为负,而偶数阶主子式为正。 B项,对称矩阵A为正定的充分必要条件是:A的各阶主子式都为正。对于满足题干要求的矩阵,其2阶主子式为负,故其不是正定矩阵。 D项,二次型所对应的矩阵为

相关内容:结论,矩阵,顺序,主子,负定,正定,二次型,平方

猜你喜欢

发表评论
更多 网友评论0 条评论)
暂无评论

Copyright © 2012-2014 恰考网 Inc. 保留所有权利。 Powered by tikuer.com

页面耗时0.1322秒, 内存占用1.03 MB, Cache:redis,访问数据库14次