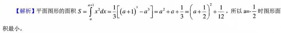
由抛物线y=x2与三直线x=a,x=a+1,y=0所围成的平面图形,a为下列()值时图形的面积最小A. a=1
B.-1/2
C. a=0
D. a=2
相关内容:抛物线,直线,平面,图形,值时,面积
- 某省会城市综合体项目,地上4栋一类高层建筑,地下室连成一体,总建筑面积280301m2,建筑面积分配见下表,设置10kV配电站一座。
请回答下列问题...
- 某省会城市综合体项目,地上4栋一类高层建筑,地下室连成一体,总建筑面积280301m2,建筑面积分配见下表,设置10kV配电站一座。
请回答下列问题。
...
- 某省会城市综合体项目,地上4栋一类高层建筑,地下室连成一体,总建筑面积280301m2,建筑面积分配见下表,设置10kV配电站一座。
请回答下列问题。
...
- 有一栋写字楼,地下一层,地上10层,其中1~4层带有裙房,每层建筑面积3000m2;5~10层为标准办公层,每层面积为2000m2,标准办公层每层公共区域...
- 有一栋写字楼,地下一层,地上10层,其中1~4层带有裙房,每层建筑面积3000m2;5~10层为标准办公层,每层面积为2000m2,标准办公层每层公共区域...
- 有一栋写字楼,地下一层,地上10层,其中1~4层带有裙房,每层建筑面积3000m2;5~10层为标准办公层,每层面积为2000m2,标准办公层每层公共区域...
- 某办公室平面长14.4m、宽7.2m、高3.6m,墙厚0.2m(照明计算平面按长14.2m、宽7.0m),工作面高度为0.75m,平面图如下图所示,办公室...
- 某办公室平面长14.4m、宽7.2m、高3.6m,墙厚0.2m(照明计算平面按长14.2m、宽7.0m),工作面高度为0.75m,平面图如下图所示,办公室...
- 正方形截面杆AB,力F作用在xoy平面内,与x轴夹角α。杆距离B端为a的横截面上最大正应力在α=45°时的值是α=0时值的( )。
- 一平面简谐波在弹性媒质中传播,在某一瞬时,某质元正处于其平衡位置,此时它的( )。A. 动能为零,势能最大
B. 动能为零,势能为零
C. 动能最大,...