图示均质梯形薄板ABCE,在A处用细绳悬挂,今欲使AB边保持水平,则需在正方形ABCD的中心挖去一个半径为()的圆形薄板。

作者: tihaiku 人气: - 评论: 0
问题 图示均质梯形薄板ABCE,在A处用细绳悬挂,今欲使AB边保持水平,则需在正方形ABCD的中心挖去一个半径为()的圆形薄板。
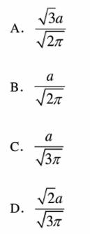
选项
答案 D
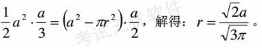
解析 由于薄板仅由一个点悬挂,所以薄板可以绕悬挂点A自由旋转。为了保证在自重作用下AB边保持水平,只需AD边处于竖直方向即可,即要求直线AD两侧均匀薄板所受重力对A点的力矩相等,建立平衡方程得:

相关内容:梯形,薄板,处用,今欲,水平,正方形,中心,半径,圆形

猜你喜欢

发表评论
更多 网友评论0 条评论)
暂无评论

Copyright © 2012-2014 恰考网 Inc. 保留所有权利。 Powered by tikuer.com

页面耗时0.0804秒, 内存占用1.04 MB, Cache:redis,访问数据库18次