某工程设计一电动机控制中心(MCC),其中最大一台笼型电动机额;定功率Ped =200kW,额定电压Ued =380V,额定电流Ied =362A,额定转...

作者: tihaiku 人气: - 评论: 0
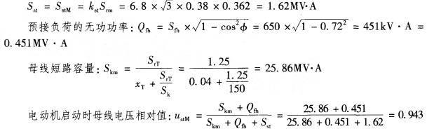
问题 某工程设计一电动机控制中心(MCC),其中最大一台笼型电动机额;定功率Ped =200kW,额定电压Ued =380V,额定电流Ied =362A,额定转速Ned = 1490r/min,功率因数 cosΦed = 0. 89,效率 ηed = 0. 945,启动电流倍数KIQ= 6. 8, MCC = 由一台SB=1250kV·A的变压器(Ud =4%)供电,变压器二次侧短路容量Sd1=150MV·A,MCC除最大一台笼型电动机外,其他负荷总计Sfh=650kV·A,功率因数cosΦ=0.72,请回答下列问题。 若忽略线路阻抗影响,按全压启动方案,计算该电动机启动时的母线电压相对值等于下列哪一项数值? ( ) (A)0.969 (B)0.946 (C)0.943 (D)0.921
选项
答案 C
解析 《工业与民用配电设计手册》(第三版)P270表6-6全压启动公式。 题干中未提及低压线路电抗,则X1=0。

相关内容:工程设计,电动机,控制,中心,笼型,功率,电压,电流

猜你喜欢

发表评论
更多 网友评论0 条评论)
暂无评论

Copyright © 2012-2014 恰考网 Inc. 保留所有权利。 Powered by tikuer.com

页面耗时0.0351秒, 内存占用1.04 MB, Cache:redis,访问数据库19次