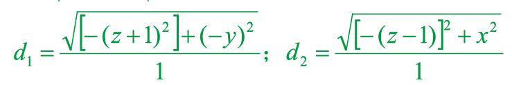
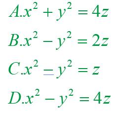
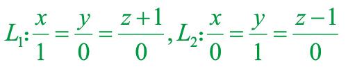
己知直线L1过点M1 (0, 0, -1)且平行于x轴,L2过点M2 (0, 0, 1)且垂直于xOz平面,则到两直线等距离点的轨迹方程为( )。
相关内容:己知,直线,过点,且平,平面,等距离,轨迹,方程
- 某圆形办公室,半径为5m,吊顶高3.3m,釆用格栅式荧光灯嵌入顶棚布置成3条光带,平面布置如下图所示。
若每套灯具采用2支36W直管型荧光灯,每支...
- 某圆形办公室,半径为5m,吊顶高3.3m,釆用格栅式荧光灯嵌入顶棚布置成3条光带,平面布置如下图所示。
在题干图中,若已知光带1可按连续线光源计算照...
- 某圆形办公室,半径为5m,吊顶高3.3m,釆用格栅式荧光灯嵌入顶棚布置成3条光带,平面布置如下图所示。
在题干图中,若各段光源采用相同的灯具,并按同...
- 某圆形办公室,半径为5m,吊顶高3.3m,釆用格栅式荧光灯嵌入顶棚布置成3条光带,平面布置如下图所示。
若该办公室的工作面距地面高0.75m,选用T...
- 某教室平面为扇形面积减去三角形面积,扇形的圆心角为60°,布置见下图,圆弧形墙面的半径为30m,教室中均匀布置格栅荧光灯具,计算中忽略墙体面积。
若...
- 某办公室平面长14.4m、宽7.2m、高3.6m,墙厚0.2m(照明计算平面按长14.2m、宽7.0m),工作面高度为0.75m,平面图如下图所示,办公室...
- 某办公室平面长14.4m、宽7.2m、高3.6m,墙厚0.2m(照明计算平面按长14.2m、宽7.0m),工作面高度为0.75m,平面图如下图所示,办公室...
- 某办公室平面长14.4m、宽7.2m、高3.6m,墙厚0.2m(照明计算平面按长14.2m、宽7.0m),工作面高度为0.75m,平面图如下图所示,办公室...
- 己知电路如图所示,设开关在t=0时刻断开,那么,如下表述中正确的是( )。
A. 电路的左右两侧均进入暂态过程
B. 电流i1立即等于is,电流i2...
- 下列不可压缩二维流动中,哪个满足连续方程?( )