过点P(l, 0, 1)且与两条直线都相交的直线的方向向量可取为( )。A.(-1,1,2) B.(-1,1,-2) C.(1, ,-2) D.(1...

作者: tihaiku 人气: - 评论: 0
问题 过点P(l, 0, 1)且与两条直线都相交的直线的方向向量可取为( )。
选项 A.(-1,1,2) B.(-1,1,-2) C.(1, ,-2) D.(1,1,2)
答案 D
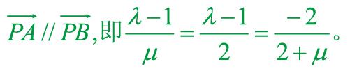
解析 设过点P (1, 0, 1)的直线L分别与直线L1、L2交于点A和点B,由L1和L2的方程知可设点A的坐标为存在常数μ使点B的坐标为(1+μ, 2, 3+μ),且由此可求得即点A为(0, -1, -1),点B为(3, 2, 5)。从而,直线L的方向向量可取任一平行于的非零向量。

相关内容:过点,直线,方向,向量

猜你喜欢

发表评论
更多 网友评论0 条评论)
暂无评论

Copyright © 2012-2014 恰考网 Inc. 保留所有权利。 Powered by tikuer.com

页面耗时0.0445秒, 内存占用1.04 MB, Cache:redis,访问数据库20次