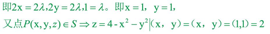
己知曲面z=4-x2-y2上点P处的切平而平行于平面2x+2y+z-l=0,则点P的坐标是( )。A. (1, -1, 2)
B. (-1, 1, 2)...
相关内容:己知,曲面,4-x2-y2,上点,切平,平面,2x+2y+z-l,则点,坐标
- 某圆形办公室,半径为5m,吊顶高3.3m,釆用格栅式荧光灯嵌入顶棚布置成3条光带,平面布置如下图所示。
若每套灯具采用2支36W直管型荧光灯,每支...
- 某圆形办公室,半径为5m,吊顶高3.3m,釆用格栅式荧光灯嵌入顶棚布置成3条光带,平面布置如下图所示。
在题干图中,若各段光源采用相同的灯具,并按同...
- 某教室平面为扇形面积减去三角形面积,扇形的圆心角为60°,布置见下图,圆弧形墙面的半径为30m,教室中均匀布置格栅荧光灯具,计算中忽略墙体面积。
若...
- 某教室平面为扇形面积减去三角形面积,扇形的圆心角为60°,布置见下图,圆弧形墙面的半径为30m,教室中均匀布置格栅荧光灯具,计算中忽略墙体面积。
若...
- 某办公室平面长14.4m、宽7.2m、高3.6m,墙厚0.2m(照明计算平面按长14.2m、宽7.0m),工作面高度为0.75m,平面图如下图所示,办公室...
- 某办公室平面长14.4m、宽7.2m、高3.6m,墙厚0.2m(照明计算平面按长14.2m、宽7.0m),工作面高度为0.75m,平面图如下图所示,办公室...
- 某办公室平面长14.4m、宽7.2m、高3.6m,墙厚0.2m(照明计算平面按长14.2m、宽7.0m),工作面高度为0.75m,平面图如下图所示,办公室...
- 某办公室平面长14.4m、宽7.2m、高3.6m,墙厚0.2m(照明计算平面按长14.2m、宽7.0m),工作面高度为0.75m,平面图如下图所示,办公室...
- 己知电路如图所示,其中,相应电流I在电压源单独作用时的分量为()。
A. 0.375A B. 0.25A C. 0.125A D. 0.1875A
- 用同种流体,同一温度进行管道模型实验。按粘性力相似准则,己知模型管径0.1m,模型流速4m/s。若原型管径为2m,则原型流速为()。A. 0.2m/s
...