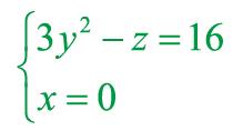
母线平行于Ox轴R通过曲线的柱面方程为( )。A. 3x2+2z2=16 B. x2+2y2=16 C. 3y2-z2=16 D. 3y2-z=16

作者: tihaiku 人气: - 评论: 0
问题 母线平行于Ox轴R通过曲线的柱面方程为( )。
选项 A. 3x2+2z2=16 B. x2+2y2=16 C. 3y2-z2=16 D. 3y2-z=16
答案 C
解析 因柱面的母线平行于x轴,故其准线在yOz平而上,且为曲线在yOz平而上的投影,在方程组中消去x得:,此即为柱而的准线,故柱面的方程为:3y2-z2=16。

相关内容:母线,曲线,方程,3x2+2z2,x2+2y2,3y2-z2

猜你喜欢

发表评论
更多 网友评论0 条评论)
暂无评论

Copyright © 2012-2014 恰考网 Inc. 保留所有权利。 Powered by tikuer.com

页面耗时0.0487秒, 内存占用1.04 MB, Cache:redis,访问数据库20次