设y=y (X)是二阶常系数微分方程y"+py'+qy=e3x满足初始条件y(0)=y'(0)=0的特解,则当0时,函数的极限()。A.不存在 B...

作者: tihaiku 人气: - 评论: 0
问题 设y=y (X)是二阶常系数微分方程y"+py'+qy=e3x满足初始条件y(0)=y'(0)=0的特解,则当0时,函数的极限()。
选项 A.不存在 B. 等于1 C.等于2 D.等于3
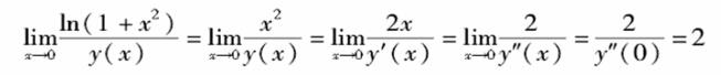
答案 C
解析 由y"+py'+qy=e3x及y(0)=y'(0)=0,知y''(0)=1,则:

相关内容:二阶,常系数,系数,初始条件,特解,则当,函数,极限

猜你喜欢

发表评论
更多 网友评论0 条评论)
暂无评论
错误啦!

错误信息

  • 消息: [程序异常] : MISCONF Redis is configured to save RDB snapshots, but it's currently unable to persist to disk. Commands that may modify the data set are disabled, because this instance is configured to report errors during writes if RDB snapshotting fails (stop-writes-on-bgsave-error option). Please check the Redis logs for details about the RDB error.
  • 文件: /twcms/kongphp/cache/cache_redis.class.php
  • 位置: 第 85 行
    <?php echo 'KongPHP, Road to Jane.'; ?>