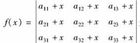
是X的多项式,其可能的最高方次是( )。A. 1次 B. 2次 C. 3次 D. 4次

作者: tihaiku 人气: - 评论: 0
问题 是X的多项式,其可能的最高方次是( )。
选项 A. 1次 B. 2次 C. 3次 D. 4次
答案 A
解析 第二行、第三行都减去第一行后,再按第一行展开,知f(X)的可能的最高方次是一次。

相关内容:多项式,可能,方次

猜你喜欢

发表评论
更多 网友评论0 条评论)
暂无评论

Copyright © 2012-2014 恰考网 Inc. 保留所有权利。 Powered by tikuer.com

页面耗时0.0404秒, 内存占用1.04 MB, Cache:redis,访问数据库19次