设A是3阶矩阵,矩阵A的第1行的2倍加到第2行,得矩阵B,则下列选项中成立的是()。A. B的第1行的-2倍加到第2行得A B. B的第1列的-2倍加到...

作者: tihaiku 人气: - 评论: 0
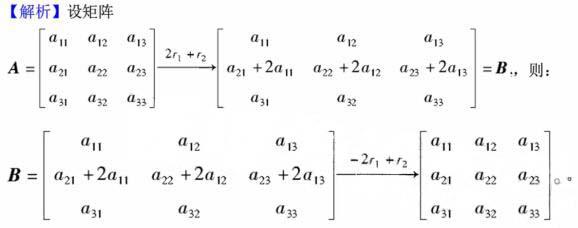
问题 设A是3阶矩阵,矩阵A的第1行的2倍加到第2行,得矩阵B,则下列选项中成立的是()。
选项 A. B的第1行的-2倍加到第2行得A B. B的第1列的-2倍加到第2列得A C. B的第2行的-2倍加到第1行得A D. B的第2列的-2倍加到第1列得A
答案 A
解析

相关内容:矩阵,的第,选项,2行得

猜你喜欢

发表评论
更多 网友评论0 条评论)
暂无评论

Copyright © 2012-2014 恰考网 Inc. 保留所有权利。 Powered by tikuer.com

页面耗时0.0416秒, 内存占用1.04 MB, Cache:redis,访问数据库19次