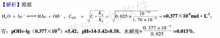
0.025mol·L-1NaAc溶液的pH值及水解度分别为()。(Ka=1.76×10-5)A. 5.42;1.06×10-6 B. 8.58;0.01...

作者: tihaiku 人气: - 评论: 0
问题 0.025mol·L-1NaAc溶液的pH值及水解度分别为()。(Ka=1.76×10-5)
选项 A. 5.42;1.06×10-6 B. 8.58;0.015% C. 8.58;1.06×10-4 D. 5.42;0.015%
答案 B
解析

猜你喜欢

发表评论
更多 网友评论0 条评论)
暂无评论

Copyright © 2012-2014 恰考网 Inc. 保留所有权利。 Powered by tikuer.com

页面耗时0.0476秒, 内存占用1.03 MB, Cache:redis,访问数据库16次