反应能自发进行,在某温度下平衡常数为10-4,若将该反应组成原电池,该电池的标准电动势是()V。A. 1.2 B. 0.12 C. 0.07 D. ...

作者: tihaiku 人气: - 评论: 0
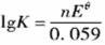
问题 反应能自发进行,在某温度下平衡常数为10-4,若将该反应组成原电池,该电池的标准电动势是()V。
选项 A. 1.2 B. 0.12 C. 0.07 D. 0.24
答案 B
解析 根据代入K=10-4,n=2,可得出Eθ=0.118V。

相关内容:应能,温度,常数,反应,电池,标准,电动势

猜你喜欢

发表评论
更多 网友评论0 条评论)
暂无评论

Copyright © 2012-2014 恰考网 Inc. 保留所有权利。 Powered by tikuer.com

页面耗时0.0369秒, 内存占用1.04 MB, Cache:redis,访问数据库19次