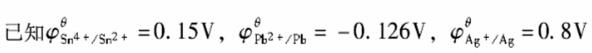
最强的氧化剂和最强的还原剂分别是()。A. Ag+和Pb2+ B. Ag和Pb C. Ag+和Pb D. Sn4+和Ag

作者: tihaiku 人气: - 评论: 0
问题 最强的氧化剂和最强的还原剂分别是()。
选项 A. Ag+和Pb2+ B. Ag和Pb C. Ag+和Pb D. Sn4+和Ag
答案 C
解析 电极电势越正,氧化态的氧化性越强;电极电势越负,还原态的还原性越强。

猜你喜欢

发表评论
更多 网友评论0 条评论)
暂无评论

Copyright © 2012-2014 恰考网 Inc. 保留所有权利。 Powered by tikuer.com

页面耗时0.0415秒, 内存占用1.01 MB, Cache:redis,访问数据库18次