水平梁CD的支承与载荷均已知(见图4-1-21),其中Fp=aq,M=a2q,支座A,B的约束力分别为()。

作者: tihaiku 人气: - 评论: 0
问题 水平梁CD的支承与载荷均已知(见图4-1-21),其中Fp=aq,M=a2q,支座A,B的约束力分别为()。
选项
答案 D
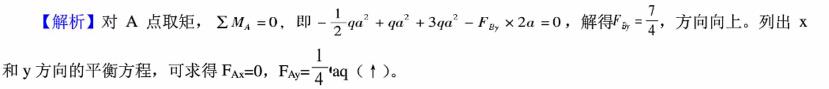
解析

相关内容:水平,载荷,4-1-21,支座,约束力

猜你喜欢

发表评论
更多 网友评论0 条评论)
暂无评论

Copyright © 2012-2014 恰考网 Inc. 保留所有权利。 Powered by tikuer.com

页面耗时0.0479秒, 内存占用1.05 MB, Cache:redis,访问数据库20次