在水平不透水层上修建有一条长1=1000m的集水廊道,如图6-6-2所示。已知含水层的厚度H =8.0m,排水后,廊道内水深降至为h=3.6m,集水廊道的...

作者: tihaiku 人气: - 评论: 0
问题 在水平不透水层上修建有一条长1=1000m的集水廊道,如图6-6-2所示。已知含水层的厚度H =8.0m,排水后,廊道内水深降至为h=3.6m,集水廊道的影响范围L=800m,滲透系数k=0.004m/s,则廊道的总排水量为()L/s。
选项 A. 387 B. 265 C. 255 D. 216
答案 C
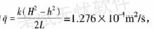
解析 集水廊道单侧单宽渗流量为则集水廊道的总排水量为Q=2ql=255L/s。

相关内容:水平,水层,集水,廊道,如图,6-6-2所示,含水层,厚度,排水,水深

猜你喜欢

发表评论
更多 网友评论0 条评论)
暂无评论

Copyright © 2012-2014 恰考网 Inc. 保留所有权利。 Powered by tikuer.com

页面耗时0.0540秒, 内存占用1.04 MB, Cache:redis,访问数据库15次