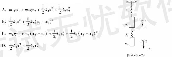
一质量弹簧系统铅垂悬挂如图4-3-28所示,若取系统静平衡位置为零势能位置,物体各自离开静平衡位置的位移为x1和x2,则系统总势能为()。

作者: tihaiku 人气: - 评论: 0
问题 一质量弹簧系统铅垂悬挂如图4-3-28所示,若取系统静平衡位置为零势能位置,物体各自离开静平衡位置的位移为x1和x2,则系统总势能为()。
选项
答案 B
解析

相关内容:质量,弹簧,系统,铅垂,如图,4-3-28所示,若取,位置,势能,物体,位移,总势

猜你喜欢

发表评论
更多 网友评论0 条评论)
暂无评论

Copyright © 2012-2014 恰考网 Inc. 保留所有权利。 Powered by tikuer.com

页面耗时0.0385秒, 内存占用1.04 MB, Cache:redis,访问数据库18次