横截面面积为A的等截而直杆受力F作用发生轴向拉伸变形,其30°斜截面上的正应力和切应力分别为()。

作者: tihaiku 人气: - 评论: 0
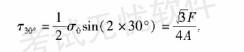
问题 横截面面积为A的等截而直杆受力F作用发生轴向拉伸变形,其30°斜截面上的正应力和切应力分别为()。
选项
答案 D
解析

相关内容:截面,面积,直杆,受力,作用,斜截,面上,应力

猜你喜欢

发表评论
更多 网友评论0 条评论)
暂无评论

Copyright © 2012-2014 恰考网 Inc. 保留所有权利。 Powered by tikuer.com

页面耗时0.0457秒, 内存占用1.05 MB, Cache:redis,访问数据库20次