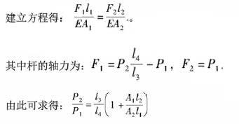
某装配组件的尺寸与受力如图5-1-12所示,已知垂直杆ABC的AB段与BC段材料相同,横截面面积分别为A1、A2若载荷P1、P2作用下C点的垂直位移为零,...

作者: tihaiku 人气: - 评论: 0
问题 某装配组件的尺寸与受力如图5-1-12所示,已知垂直杆ABC的AB段与BC段材料相同,横截面面积分别为A1、A2若载荷P1、P2作用下C点的垂直位移为零,则P2与P1之间的关系为()。
选项
答案 D
解析 由题可知,C点的垂直位移为零,即AB段的缩短量与BC段的伸长量相等,

相关内容:装配,组件,尺寸,受力,如图,5-1-12所示,段与,段材料,材料,截面,面积,载荷,作用,位移

猜你喜欢

发表评论
更多 网友评论0 条评论)
暂无评论

Copyright © 2012-2014 恰考网 Inc. 保留所有权利。 Powered by tikuer.com

页面耗时0.0811秒, 内存占用1.05 MB, Cache:redis,访问数据库19次