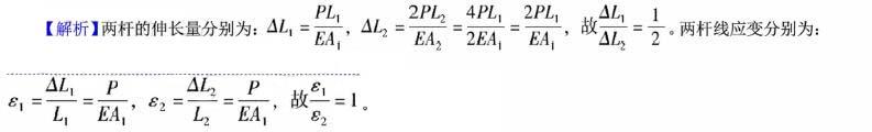
两根拉杆受轴向力作用如图5-1-14所示。已知两杆的横截而面积A和杆长L之间的关系为:A1/A2=1/2,L1/L2=1/2,则杆的伸长量ΔL和纵向线应变...

作者: tihaiku 人气: - 评论: 0
问题 两根拉杆受轴向力作用如图5-1-14所示。已知两杆的横截而面积A和杆长L之间的关系为:A1/A2=1/2,L1/L2=1/2,则杆的伸长量ΔL和纵向线应变ε之间的关系为()。
选项
答案 C
解析

相关内容:拉杆,受轴,作用,如图,5-1-14所示,两杆,横截,面积,杆长,关系,纵向,应变

猜你喜欢

发表评论
更多 网友评论0 条评论)
暂无评论

Copyright © 2012-2014 恰考网 Inc. 保留所有权利。 Powered by tikuer.com

页面耗时0.0343秒, 内存占用1.04 MB, Cache:redis,访问数据库18次