如图5-4-8所示截面对其水平形心轴的惯性矩为()。

作者: tihaiku 人气: - 评论: 0
问题 如图5-4-8所示截面对其水平形心轴的惯性矩为()。
选项
答案 B
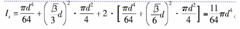
解析 由惯性矩的平行移轴公式和叠加法可得:

相关内容:如图,截面,水平,形心,惯性

猜你喜欢

发表评论
更多 网友评论0 条评论)
暂无评论

Copyright © 2012-2014 恰考网 Inc. 保留所有权利。 Powered by tikuer.com

页面耗时0.0854秒, 内存占用1.03 MB, Cache:redis,访问数据库14次