如图5-4-9所示,截面对z轴和y轴的惯性矩和惯性积为()。

作者: tihaiku 人气: - 评论: 0
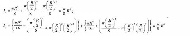
问题 如图5-4-9所示,截面对z轴和y轴的惯性矩和惯性积为()。
选项
答案 C
解析 半圆对直径轴Z和对称轴y的惯性矩均为整圆的一半,即I=πR4/8。则图示截面的惯性矩为: 该截面可以分割成两个部分,一部分为对称于z轴的半径为R/2的圆,另一部分为对称于y轴的截掉两个半径为R/2的半圆。根据对称性可知这两部分的惯性积均为零,因此该截面的惯性积也为零。

相关内容:如图,5-4-9所示,轴和,惯性

猜你喜欢

发表评论
更多 网友评论0 条评论)
暂无评论

Copyright © 2012-2014 恰考网 Inc. 保留所有权利。 Powered by tikuer.com

页面耗时0.0373秒, 内存占用1.04 MB, Cache:redis,访问数据库20次