图5-6-9所示等腰直角三角形单元体,已知两直角边表示的截面上只有剪应力,且等于τ0,则底边表示的截面上的正应力σ和剪应力τ分别为()。

作者: tihaiku 人气: - 评论: 0
问题 图5-6-9所示等腰直角三角形单元体,已知两直角边表示的截面上只有剪应力,且等于τ0,则底边表示的截面上的正应力σ和剪应力τ分别为()。
选项
答案 B
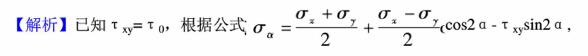
解析

相关内容:直角三角形,单元,直角,面上,只有,底边,应力

猜你喜欢

发表评论
更多 网友评论0 条评论)
暂无评论

Copyright © 2012-2014 恰考网 Inc. 保留所有权利。 Powered by tikuer.com

页面耗时0.0781秒, 内存占用1.04 MB, Cache:redis,访问数据库19次