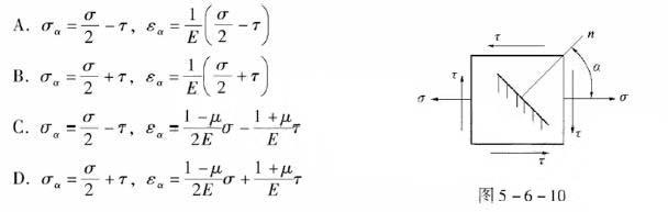
求图5-6-10所示平面应力状态的σα、εα。已知α=45°,E、μ分别为材料的弹性模量和泊松比,则有()。

作者: tihaiku 人气: - 评论: 0
问题 求图5-6-10所示平面应力状态的σα、εα。已知α=45°,E、μ分别为材料的弹性模量和泊松比,则有()。
选项
答案 C
解析

相关内容:求图,5-6-10,平面,应力,状态,材料,弹性,模量,泊松

猜你喜欢

发表评论
更多 网友评论0 条评论)
暂无评论

Copyright © 2012-2014 恰考网 Inc. 保留所有权利。 Powered by tikuer.com

页面耗时0.0515秒, 内存占用1.03 MB, Cache:redis,访问数据库13次