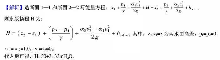
如图6-4-6所示水泵吸水系统,水箱与水池液面高差z=30m,断面1一1到2—2的总水头损失hw=3mH2O,则水泵的扬程H至少应为()mH2O。 A....

作者: tihaiku 人气: - 评论: 0
问题 如图6-4-6所示水泵吸水系统,水箱与水池液面高差z=30m,断面1一1到2—2的总水头损失hw=3mH2O,则水泵的扬程H至少应为()mH2O。
选项 A. 30 B. 33 C. 39 D. 40
答案 B
解析

相关内容:如图,水泵,系统,水箱,水池,高差,断面,水头,损失,扬程

猜你喜欢

发表评论
更多 网友评论0 条评论)
暂无评论

Copyright © 2012-2014 恰考网 Inc. 保留所有权利。 Powered by tikuer.com

页面耗时0.0696秒, 内存占用1.03 MB, Cache:redis,访问数据库14次