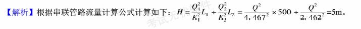
如图6-4-7所示,串联管路水箱出流,流量模数K1=4.467m3/s,K2=2.462m3/s,L1=500m,L2=400m,水位差H=5m。按长管计...

作者: tihaiku 人气: - 评论: 0
问题 如图6-4-7所示,串联管路水箱出流,流量模数K1=4.467m3/s,K2=2.462m3/s,L1=500m,L2=400m,水位差H=5m。按长管计算,则自由出流流量为()m3/s。
选项 A. 0.2343 B. 0.4686 C. 0.3125 D. 0.1562
答案 A
解析 因此,可求得Q=Q1=Q2=0.2343m3/s。

相关内容:如图,6-4-7所示,管路,水箱,出流,流量,模数,4.467m3,2.462m3,按长,管计

猜你喜欢

发表评论
更多 网友评论0 条评论)
暂无评论

Copyright © 2012-2014 恰考网 Inc. 保留所有权利。 Powered by tikuer.com

页面耗时0.0556秒, 内存占用1.04 MB, Cache:redis,访问数据库15次