有一条养护良好的矩形断面长直渠道,底坡i=0.0008,底宽b=1.0m,均匀流动水深h=0.5m,粗糙系数n=0.025,则渠道通过的流量Q=()m3/...

作者: tihaiku 人气: - 评论: 0
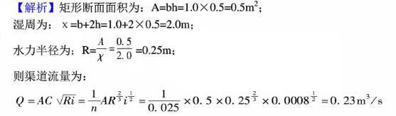
问题 有一条养护良好的矩形断面长直渠道,底坡i=0.0008,底宽b=1.0m,均匀流动水深h=0.5m,粗糙系数n=0.025,则渠道通过的流量Q=()m3/s。
选项 A. 0.10 B. 0.15 C.0.25 D.0.35
答案 C
解析

相关内容:养护,矩形,断面,渠道,底坡,0.0008,流动,水深,系数,流量

猜你喜欢

发表评论
更多 网友评论0 条评论)
暂无评论

Copyright © 2012-2014 恰考网 Inc. 保留所有权利。 Powered by tikuer.com

页面耗时0.0534秒, 内存占用1.04 MB, Cache:redis,访问数据库18次