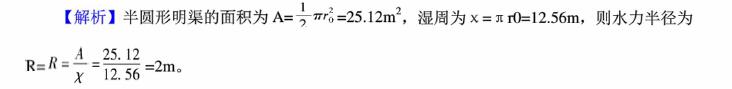
图6-5-1所示半圆形明渠半径r0=4m,其水力半径R为( )m。 A.2 B.2.5 C.3 D.4

作者: tihaiku 人气: - 评论: 0
问题 图6-5-1所示半圆形明渠半径r0=4m,其水力半径R为( )m。
选项 A.2 B.2.5 C.3 D.4
答案 A
解析

相关内容:半圆形,明渠,半径,水力

猜你喜欢

发表评论
更多 网友评论0 条评论)
暂无评论

Copyright © 2012-2014 恰考网 Inc. 保留所有权利。 Powered by tikuer.com

页面耗时0.0351秒, 内存占用1.04 MB, Cache:redis,访问数据库14次