运算放大器应用电路如图所示,设运算放大器输出电压的极限值为±11V ,如果将2V电压接入电路的"A”端,电路的"B”端接地后,测得输出电压为-8V,那...

作者: tihaiku 人气: - 评论: 0
问题 运算放大器应用电路如图所示,设运算放大器输出电压的极限值为±11V ,如果将2V电压接入电路的"A”端,电路的"B”端接地后,测得输出电压为-8V,那么,如果将2V电压接入电路的"B”端,而电路的"A”端接地,则该电路的输出电压u0等于( )。
选项 A. 8V B.-8V C. 10V D. -10V
答案 C
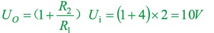
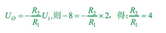
解析 当A端接输入信号,B端接地时,电路为反相比例放大电路:。 如A端接地,B端接输入信号时,为同相放大电路:

相关内容:运算,放大器,应用,电路,如图,电压,限值,接地

猜你喜欢

发表评论
更多 网友评论0 条评论)
暂无评论

Copyright © 2012-2014 恰考网 Inc. 保留所有权利。 Powered by tikuer.com

页面耗时0.0351秒, 内存占用1.04 MB, Cache:redis,访问数据库16次