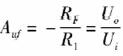
如图7-5-19所示电路中,已知RF=2R1,Ui=-2V,则输出电压U0=()V。 A. -6 B. -4 C. 4 D. 6

作者: tihaiku 人气: - 评论: 0
问题 如图7-5-19所示电路中,已知RF=2R1,Ui=-2V,则输出电压U0=()V。
选项 A. -6 B. -4 C. 4 D. 6
答案 C
解析 电路中A为电压跟随器,A2为反相比例放大器,根据公式可得U0=4V

相关内容:如图,7-5-19,电路,电压

猜你喜欢

发表评论
更多 网友评论0 条评论)
暂无评论

Copyright © 2012-2014 恰考网 Inc. 保留所有权利。 Powered by tikuer.com

页面耗时0.0514秒, 内存占用1.04 MB, Cache:redis,访问数据库19次