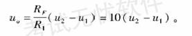
运算放大器应用电路如图7-5-21所示,在运算放大器线性工作区,输出电压与输入电压之间的运算关系是()。 A. U0=10(U1-U2) B. U0=...

作者: tihaiku 人气: - 评论: 0
问题 运算放大器应用电路如图7-5-21所示,在运算放大器线性工作区,输出电压与输入电压之间的运算关系是()。
选项 A. U0=10(U1-U2) B. U0=10(U2-U1) C. U0=10U1+11U2 D. U0=10U1-11U2
答案 B
解析 题中的电路为减法运算放大器,按照反相输入和同相输出比例运算放大器公式,根据叠加原理可得

相关内容:运算,放大器,应用,电路,如图,7-5-21所示,线性,工作区,电压,关系

猜你喜欢

发表评论
更多 网友评论0 条评论)
暂无评论
错误啦!

错误信息

  • 消息: [程序异常] : MISCONF Redis is configured to save RDB snapshots, but it's currently unable to persist to disk. Commands that may modify the data set are disabled, because this instance is configured to report errors during writes if RDB snapshotting fails (stop-writes-on-bgsave-error option). Please check the Redis logs for details about the RDB error.
  • 文件: /twcms/kongphp/cache/cache_redis.class.php
  • 位置: 第 85 行
    <?php echo 'KongPHP, Road to Jane.'; ?>