图(a)所示电路中,复位信号,信号A及时钟脉冲信号cp如图(b)所示,经分析可知,在第一个和第二个时钟脉冲的下降沿时刻,输出Q先后等于( )。 附:触...

作者: tihaiku 人气: - 评论: 0
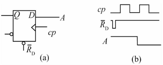
问题 图(a)所示电路中,复位信号,信号A及时钟脉冲信号cp如图(b)所示,经分析可知,在第一个和第二个时钟脉冲的下降沿时刻,输出Q先后等于( )。 附:触发器的逻辑状态表为: D Qn+1 0 0 1 1
选项 A. 0、0 B. 0、1 C. 1、0 D. 1、1
答案 C
解析 触发器是存放二进制数字脉冲信号的基本单元,它具有记忆功能。触发器最基本的功能有:①有两个稳定状态,"0”状态和"1”状态,即双稳态;②能接收、保持和输出送来的信号。常用的双稳态触发器有:基本R-S触发器、D触发器J-K触发器。 D触发器由四个与非门构成,触发器的输出状态跟随D输入信号变化,其特性为 本题中D=A, 对照图(b),第一个下降时刻,A=1,第二个下降时刻A=0。

相关内容:电路,信号,时钟,脉冲,如图,分析,第二个,时刻,先后

猜你喜欢

发表评论
更多 网友评论0 条评论)
暂无评论

Copyright © 2012-2014 恰考网 Inc. 保留所有权利。 Powered by tikuer.com

页面耗时0.0710秒, 内存占用1.04 MB, Cache:redis,访问数据库14次