某炼钢厂除尘风机电动机额定功率Pe =2100kW,额定转速N= 1500r/min,额定电压Un =10kV;除尘风机额定功率Pn=2000kW,额定转...

作者: tihaiku 人气: - 评论: 0
问题 某炼钢厂除尘风机电动机额定功率Pe =2100kW,额定转速N= 1500r/min,额定电压Un =10kV;除尘风机额定功率Pn=2000kW,额定转速N=1491r/min,据工艺状况工作在高速或低速状态,高速时转速为1350r/min,低速时为300r/min,年作业320天,每天24h,进行方案设计时,做液力耦合器调速方案和变频器调速方案的技术比较,变频器效率为0.96,忽略风机电动机效率和功率因数影响,请回答下列问题。 当除尘风机运行在高速时,试计算这种情况下用变频调速器调速比液力耦合器调速每天省多少度电? ( ) (A)2350.18kW·h (B)3231. 36kW·h (C)3558.03kW·h (D)3958. 56kW·h
选项
答案 A
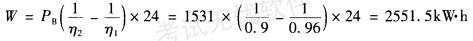
解析 《钢铁企业电力设计手册》(上册)P306中“6.6风机、水泵的节电”,由题干忽略风机电动机效率和功率因数影响变频调速器即变速变流量控制,此控制方式的流量特性为:流量与转速成正比,而功率与流量的3次方成比例。在高速运行时电机的输出功率PB为: 由题干条件变频器的效率为0. 96,和《钢铁企业电力设计手册》(上册)P306 式(6-43),每天节省的电能为: 注:此题计算过程有争议。

猜你喜欢

发表评论
更多 网友评论0 条评论)
暂无评论

Copyright © 2012-2014 恰考网 Inc. 保留所有权利。 Powered by tikuer.com

页面耗时0.0526秒, 内存占用1.03 MB, Cache:redis,访问数据库14次