某工程设计一电动机控制中心(MCC),其中最大一台笼型电动机额;定功率Ped =200kW,额定电压Ued =380V,额定电流Ied =362A,额定转...

作者: tihaiku 人气: - 评论: 0
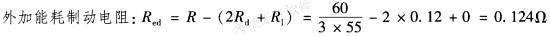
问题 某工程设计一电动机控制中心(MCC),其中最大一台笼型电动机额;定功率Ped =200kW,额定电压Ued =380V,额定电流Ied =362A,额定转速Ned = 1490r/min,功率因数 cosΦed = 0. 89,效率 ηed = 0. 945,启动电流倍数KIQ= 6. 8, MCC = 由一台SB=1250kV·A的变压器(Ud =4%)供电,变压器二次侧短路容量Sd1=150MV·A,MCC除最大一台笼型电动机外,其他负荷总计Sfh=650kV·A,功率因数cosΦ=0.72,请回答下列问题。 如果该电动机的空载电流Ikz =55A,定子电阻Rd=0. 1211,采用能耗制动时,外加直流电压Uzd=60V,忽略线路电阻,通常为获得最大制动转矩,外加能耗制动电阻值为下列哪一项? ( ) (A)0.051Ω (B)0.234Ω (C)0. 244Ω (D)0.124Ω
选项
答案 D
解析 《钢铁企业电力设计手册》(下册)P114例题。

相关内容:工程设计,电动机,控制,中心,笼型,功率,电压,电流

猜你喜欢

发表评论
更多 网友评论0 条评论)
暂无评论

Copyright © 2012-2014 恰考网 Inc. 保留所有权利。 Powered by tikuer.com

页面耗时0.0721秒, 内存占用1.04 MB, Cache:redis,访问数据库17次