某办公楼供电电源10kV电网中性点为小电阻接地系统,双路10kV高压电缆进户,楼内10kV高压与低压电器装置共用接地网,请回答下列问题。 建筑物基础为钢...

作者: tihaiku 人气: - 评论: 0
问题 某办公楼供电电源10kV电网中性点为小电阻接地系统,双路10kV高压电缆进户,楼内10kV高压与低压电器装置共用接地网,请回答下列问题。 建筑物基础为钢筋混凝土桩基,桩基数量800根,深度t=36m,基底长边L1= 180m,短边L2 = 90m,土壤电阻率ρ=120Ω·m,若利用桩基基础做自然接地极,计算其接地电阻R是下列哪一项数值?(计算形状系数査图时,取靠近图中网格交叉点的近似值) () (A)R=0.287Ω (B)R=0.293Ω (C)R=0.373Ω (D)R=2.567Ω
选项
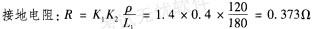
答案 C
解析 《工业与民用配电设计手册》(第三版)P893表14-13及P891图14-9。 特征值 C1:C1 =n/A=800/(180×90) =4. 94×10-2,因此K1=1.4。 L1/L2 = 180/90 =2,t/L2 = 36/90 =0.4,查图 14-9 可知 K2 =0.4。

相关内容:办公楼,供电,电源,电网,中性,电阻,接地,系统,双路,高压,电缆,进户,楼内,低压电器,装置,地网,问题,建筑物,基础

猜你喜欢

发表评论
更多 网友评论0 条评论)
暂无评论

Copyright © 2012-2014 恰考网 Inc. 保留所有权利。 Powered by tikuer.com

页面耗时0.0442秒, 内存占用1.04 MB, Cache:redis,访问数据库14次