某办公楼供电电源10kV电网中性点为小电阻接地系统,双路10kV高压电缆进户,楼内10kV高压与低压电器装置共用接地网,请回答下列问题。 已知变电所地面...

作者: tihaiku 人气: - 评论: 0
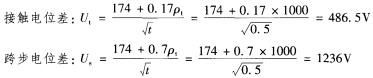
问题 某办公楼供电电源10kV电网中性点为小电阻接地系统,双路10kV高压电缆进户,楼内10kV高压与低压电器装置共用接地网,请回答下列问题。 已知变电所地面土壤电阻率ρt=1000Ω·m,接地故障电流持续时间t=0. 5s,高压电气装置发生单相接地故障时,变电所接地装置的接触电位差Ut和跨步电位差Us不应超过下列哪一项数值? ( ) (A)Ut=100V,Us =250V (B)Ut=550V,US=250V (C)Ut=487V,Us =1236V (D)Ut=688V,Us=1748V
选项
答案 C
解析 《交流电气装置的接地设计规范》(GB/T50065—2011)第4. 2. 2条(表层衰减系数取1)。 6 ~ 35kV低电阻接地系统发生单相接地,发电厂、变电所接地装置的接触电位差和跨步电位差不应超过下列数值: 注:原题考查《交流电气装置的接地》(DL/T 621—1997)第3. 4条a)款,式(1) 和式(2),此规范无“表层衰减系数”参数。

相关内容:办公楼,供电,电源,电网,中性,电阻,接地,系统,双路,高压,电缆,进户,楼内,低压电器,装置,地网,问题,变电所,地面

猜你喜欢

发表评论
更多 网友评论0 条评论)
暂无评论

Copyright © 2012-2014 恰考网 Inc. 保留所有权利。 Powered by tikuer.com

页面耗时0.0772秒, 内存占用1.05 MB, Cache:redis,访问数据库18次