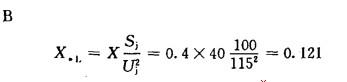
K1点前的综合电抗标幺值为( )。A. 0. 333; B. 0.454; C. 0.121; D. 0.212。

作者: tihaiku 人气: - 评论: 0
问题 K1点前的综合电抗标幺值为( )。
选项 A. 0. 333; B. 0.454; C. 0.121; D. 0.212。
答案 B
解析
  • 上一篇:
  • 下一篇:

猜你喜欢

发表评论
更多 网友评论0 条评论)
暂无评论

Copyright © 2012-2014 恰考网 Inc. 保留所有权利。 Powered by tikuer.com

页面耗时0.0553秒, 内存占用1.03 MB, Cache:redis,访问数据库18次