按综合修正后的载流量选择电缆截面(铜芯)为( )。A. 25mm2 ; B. 35mm2 ; C. 50mm2 ; D. 70mm2。

作者: tihaiku 人气: - 评论: 0
问题 按综合修正后的载流量选择电缆截面(铜芯)为( )。
选项 A. 25mm2 ; B. 35mm2 ; C. 50mm2 ; D. 70mm2。
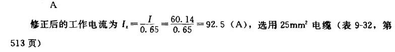
答案 A
解析

相关内容:综合,流量,电缆,截面,铜芯

猜你喜欢

发表评论
更多 网友评论0 条评论)
暂无评论

Copyright © 2012-2014 恰考网 Inc. 保留所有权利。 Powered by tikuer.com

页面耗时0.0830秒, 内存占用1.03 MB, Cache:redis,访问数据库19次