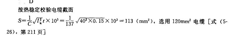
按热稳定校验电缆截面为( )。A. 50mm2 ; B. 70mm2; C. 95mm2; D. 120mm2。

作者: tihaiku 人气: - 评论: 0
问题 按热稳定校验电缆截面为( )。
选项 A. 50mm2 ; B. 70mm2; C. 95mm2; D. 120mm2。
答案 D
解析

相关内容:按热,电缆,120mm2

猜你喜欢

发表评论
更多 网友评论0 条评论)
暂无评论

Copyright © 2012-2014 恰考网 Inc. 保留所有权利。 Powered by tikuer.com

页面耗时0.0466秒, 内存占用1.05 MB, Cache:redis,访问数据库20次