按(1)方案,金卤灯镇流器损耗为30W,该场所的LPD值为( )。A. 4. 4W/m2, B. 5. 2W/m2; C. 6. lW/m2; ...

作者: tihaiku 人气: - 评论: 0
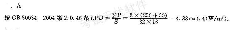
问题 按(1)方案,金卤灯镇流器损耗为30W,该场所的LPD值为( )。
选项 A. 4. 4W/m2, B. 5. 2W/m2; C. 6. lW/m2; D. 6. 9W/m2。
答案 A
解析

相关内容:方案,金卤灯,镇流器,损耗,场所,值为

猜你喜欢

发表评论
更多 网友评论0 条评论)
暂无评论

Copyright © 2012-2014 恰考网 Inc. 保留所有权利。 Powered by tikuer.com

页面耗时0.0679秒, 内存占用1.04 MB, Cache:redis,访问数据库19次