某人打算从现在算起的5年末购买一套价值为50万元的商品住房。首付20%后,以5%的年利率进行贷款,贷款年限为5年。为在5年中以年末等额还款的方式归还这笔贷...

作者: tihaiku 人气: - 评论: 0
问题 某人打算从现在算起的5年末购买一套价值为50万元的商品住房。首付20%后,以5%的年利率进行贷款,贷款年限为5年。为在5年中以年末等额还款的方式归还这笔贷款,这人每年末应准备()万元。
选项 A. 9.05 B. 9.24 C. 11.55 D. 7.24
答案 B
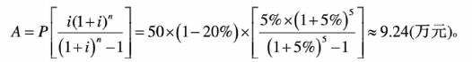
解析 利用等额资金回收公式计算:

相关内容:打算,价值,50万元,商品,住房,首付,年利率,贷款,年限,为在,等额,方式

猜你喜欢

发表评论
更多 网友评论0 条评论)
暂无评论

访问排行

Copyright © 2012-2014 恰考网 Inc. 保留所有权利。 Powered by tikuer.com

页面耗时0.0390秒, 内存占用1.04 MB, Cache:redis,访问数据库16次