某低压交流异步电动机额定电压380V,额定功率90kW,额定电流169. 5A,全压 启动时启动电流为1186. 5A, Y降压启动时,启动电流为( )。...

作者: tihaiku 人气: - 评论: 0
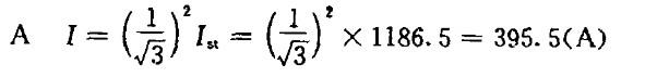
问题 某低压交流异步电动机额定电压380V,额定功率90kW,额定电流169. 5A,全压 启动时启动电流为1186. 5A, Y降压启动时,启动电流为( )。 A. 396A; B. 685A; C. 839A; D. 1186
选项 A。
答案 A
解析

猜你喜欢

发表评论
更多 网友评论0 条评论)
暂无评论

Copyright © 2012-2014 恰考网 Inc. 保留所有权利。 Powered by tikuer.com

页面耗时0.0670秒, 内存占用1.03 MB, Cache:redis,访问数据库14次