函数f(x)=-x2+4x-2 在区间[1,4] 上的最大值和最小值分别是()。A.2 和-2 B.2 ,没有最小值 C.1和1 D.2和4

作者: tihaiku 人气: - 评论: 0
问题 函数f(x)=-x2+4x-2 在区间[1,4] 上的最大值和最小值分别是()。
选项 A.2 和-2 B.2 ,没有最小值 C.1和1 D.2和4
答案 A
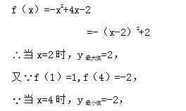
解析

猜你喜欢

发表评论
更多 网友评论0 条评论)
暂无评论

Copyright © 2012-2014 恰考网 Inc. 保留所有权利。 Powered by tikuer.com

页面耗时0.0389秒, 内存占用1.02 MB, Cache:redis,访问数据库14次