共用题干某企业批量生产一种零件,投产批量为6件,经过4道工序加工,按照加工顺序,单件每道工序作业时间依次为20分钟、10分钟、25分钟、15分钟,假设零件...

作者: rantiku 人气: - 评论: 0
问题 共用题干某企业批量生产一种零件,投产批量为6件,经过4道工序加工,按照加工顺序,单件每道工序作业时间依次为20分钟、10分钟、25分钟、15分钟,假设零件移动用时为零。根据以上资料,回答下列问题:
选项 将一个批次的该种零件全部生产出来,工序间搬运次数最多的零件移动方式是()。 A:顺序移动方式 B:平行移动方式 C:平行顺序移动方式 D:交叉移动方式
答案 B
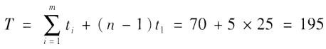
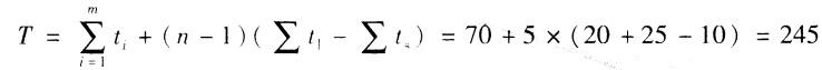
解析 平行顺序移动方式生产周期计算过程如下:,m为加工工序的道数,n为批量,tl表示比相邻工序单件工时均大的工序的单件工时,ts表示比相邻工序单件工时均小的工序的单件工时。 平行移动方式的特点就是使得生产周期最短,计算过程如下:,tl,表示单件工时最长的工序的单件工时。 平行移动方式的缺点就是运输次数最多。 顺序移动方式和平行顺序移动方式的优点都在于不发生停顿现象,使设备能连续、正常运转。 平行移动方式最大的优点在于减少生产周期。

猜你喜欢

发表评论
更多 网友评论0 条评论)
暂无评论

访问排行

Copyright © 2012-2014 恰考网 Inc. 保留所有权利。 Powered by tikuer.com

页面耗时0.0329秒, 内存占用1.03 MB, Cache:redis,访问数据库20次