共用题干 某企业领导班子正在组织研发部经理、财务部经理等部门经理分析研究某设备的更新与改造问题。该设备的原始价值为80000元,每年低劣化增加值为250...

作者: tihaiku 人气: - 评论: 0
问题 共用题干 某企业领导班子正在组织研发部经理、财务部经理等部门经理分析研究某设备的更新与改造问题。该设备的原始价值为80000元,每年低劣化增加值为2500元,更新时的残值为19000元。根据以上资料,回答下列问题:
选项 设备费用由投资费用和经营费用两部分组成,该企业对设备费用正确的认识是()。 A:该设备的投资费用随着设备使用年限的延长,其分摊费用将逐年减少 B:该设备必须使用到经济寿命结束时再进行更新才合理 C:在正常使用、维护和保养的条件下,该设备为企业生产经营服务的时间是该设备的使用寿命 D:由于有形磨损造成的设备低劣化,该设备的经营费用将逐年增加
答案 ACD
解析 设备更新的前提是确定设备的最佳更新期。确定设备最佳更新期主要是依据设备的经济寿命来根据经济寿命来确定设备最佳更新时机的原则是使设备各种费用的总和最小。
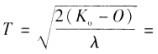
采用低劣化数值法在考虑残值的情况下,最佳更新期
设备的改造是指企业根据生产经营发展的需要,应用现代化的技术成果和先进经验,给旧设备装上新部件、新装置、新附件等,以改变旧设备的落后结构,改善旧设备的技术性能,提高其生产率。
设备的费用由两部分组成:一部分是购置设备时的投资费用,另一部分是维修保养、燃料动力消耗和劳务支出等经营费用。前者随着设备使用年限的延长,其分摊费用逐年减少;后者是由于有形磨损造成的设备低劣化,其值将逐年扩大。这两种具有相反趋势费用的和,必然会有最小值,这个最低的使用费用就是该设备的经济寿命费用。

相关内容:题干,企业,领导班子,正在,组织,研发部,经理,财务部,部门,分析研究,设备,改造,问题,价值,80000元,增加值,250...

猜你喜欢

发表评论
更多 网友评论0 条评论)
暂无评论

访问排行

Copyright © 2012-2014 恰考网 Inc. 保留所有权利。 Powered by tikuer.com

页面耗时0.0563秒, 内存占用1.05 MB, Cache:redis,访问数据库18次