共用题干 某企业拟开发一种新产品,需要资本总额为300万元,现有两个筹资组合方案可供选择,两个方案的财务风险都维持在可承受的范围内,具体内容如下:其中向...

作者: tihaiku 人气: - 评论: 0
问题 共用题干 某企业拟开发一种新产品,需要资本总额为300万元,现有两个筹资组合方案可供选择,两个方案的财务风险都维持在可承受的范围内,具体内容如下:

其中向银行借款,借款的利率为10%,每年付息,到期一次性还本,筹资费率为2%,企业所得税税率为25%。根据以上资料,回答下列问题:
选项 经分析,该企业应该选择()。 A:方案1 B:方案2 C:方案1或方案2 D:方案1和方案2都不选
答案 B
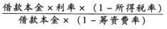
解析 银行借款的资本成本率==[10%*(1-25%)]/(1-2%)=7.65%。
方案1的综合资本成本率=60/300*7.65%+150/300*10%+90/300*12%=10.13%。
方案2的综合资本成本率=90/300*7.65%+120/300*8%+90/300*12%=9.095%。方案2的综合资本成本率低于方案1的,故应选择方案2。
用资费用是指企业在生产经营和对外投资活动中因使用资本而承付的费用。用资费用是资本成本的主要内容。长期资本的用资费用是经常性的,并随时因资本数量的多少和时期的长短而变动,因而属于变动性资本成本。选项B、D是筹资费用的相关特点。
综合资本成本率是指一个企业全部长期资本的成本率,通常是以各种长期资本的比例为权重,对个别资本成本率进行加权平均测算,又称加权平均资本成本率。

相关内容:题干,企业,开发,新产品,需要,资本,总额,300万元,现有,两个,组合,方案,财务风险,承受,内容,如下

猜你喜欢

发表评论
更多 网友评论0 条评论)
暂无评论

访问排行

Copyright © 2012-2014 恰考网 Inc. 保留所有权利。 Powered by tikuer.com

页面耗时0.0366秒, 内存占用1.05 MB, Cache:redis,访问数据库17次