为增强员工间的团队合作意识,鼓励员工多参与集体体育活动,公司计划拿出不超过2000元的资金购买一批足球和篮球。已知足球和篮球的单价比为2 :3,单价和为9...

作者: rantiku 人气: - 评论: 0
问题 为增强员工间的团队合作意识,鼓励员工多参与集体体育活动,公司计划拿出不超过2000元的资金购买一批足球和篮球。已知足球和篮球的单价比为2 :3,单价和为90元,若要求购买足球和篮球的总数量是43个,且购买的篮球数量多于24个,则足球和篮球应各买 多少个?( ) A.足球18个、篮球25个 B.足球17个、篮球26个 C.足球16个、篮球27个 D.足球15个、篮球28个
选项
答案 A
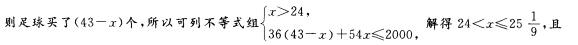
解析 由题意可知,足球和篮球的单价分别为36元和54元。设篮球买了:x个, x为整数,则x只能为25。故答案为A。本题也可运用代入排除法快速求解。求出足球和篮球的单价分别为36元和54元。将四个选项分别代入验证即可,A项,18 × 36 + 25 × 54 = 1998

猜你喜欢

发表评论
更多 网友评论0 条评论)
暂无评论

访问排行

Copyright © 2012-2014 恰考网 Inc. 保留所有权利。 Powered by tikuer.com

页面耗时0.0494秒, 内存占用1.03 MB, Cache:redis,访问数据库17次